
Pourquoi certaines personnes adhèrent-elles plutôt à telle ou telle conception de la justice ? Est-ce le fruit d’une réflexion personnelle indépendante de facteurs externes ? Est-ce lié à l’éducation qu’elles ont reçue ou aux personnes qu’elles côtoient ? Y aurait-il un lien entre ces conceptions et la personnalité ? Ces questions sont intéressantes car elles nous amènent à réfléchir au lien susceptible d’exister entre qui nous sommes et les valeurs qui sont les nôtres. Définie au sens large, la personnalité implique des dimensions affectives, cognitives et motivationelles. Les valeurs sont des constructions intellectuelles relativement complexes qui connotent nos actions et nos pensées : “Est-ce une bonne chose d’aider les personnes démunies ?” ou “Est-ce une bonne chose de frapper son enfant lorsqu’il commet une bêtise ?” La réponse à ces questions dépend-elle de qui nous sommes ? Probablement. Mais dans quelle mesure ? Nous allons dès lors nous intéresser ici à ces questions car nous disposons de quelques données susceptibles de nous aider.
Notre échantillon se compose de 148 personnes qui ont répondu à une version papier du questionnaire et au NEO PI-R ou au NEO PI 3 (McCrae & Costa, 2010). La plupart sont des étudiants en psychologie qui avaient le choix de le passer lors d’un cours. Toutes les réponses étaient anonymes. L’échantillon compte 26 (19%) hommes et 109 (81%) femmes et 13 données manquantes concernant le sexe. L’âge moyen est égal à 23.67 (écart-type = 5.49) pour un minimum de 20 ans et un maximum de 61 ans.
La tendance à répondre positivement aux questions (peu importe le modèle auquel elles font référence) était la Dimension 2, c’est-à-dire la somme de tous les items. Cette tendance est-elle liée à un des cinq grand domaine de la personnalité ? Nous calculons la matrice de corrélations pour les six variables.
rcorr(perso5dim2)
## dim2 N E O A C
## dim2 1.00 0.14 -0.04 -0.20 -0.16 0.04
## N 0.14 1.00 -0.18 -0.02 -0.07 -0.39
## E -0.04 -0.18 1.00 0.19 -0.02 0.00
## O -0.20 -0.02 0.19 1.00 0.13 -0.15
## A -0.16 -0.07 -0.02 0.13 1.00 0.00
## C 0.04 -0.39 0.00 -0.15 0.00 1.00
##
## n= 148
##
##
## P
## dim2 N E O A C
## dim2 0.0819 0.6449 0.0131 0.0471 0.6664
## N 0.0819 0.0322 0.8416 0.3800 0.0000
## E 0.6449 0.0322 0.0185 0.7646 0.9778
## O 0.0131 0.8416 0.0185 0.1083 0.0629
## A 0.0471 0.3800 0.7646 0.1083 0.9552
## C 0.6664 0.0000 0.9778 0.0629 0.9552
Nous ne devons regarder que la première colonne qui indique que deux variables de personnalité ont un impact sur la propention à répondre favorablement aux questions : la fermeture d’esprit et une moindre agréabilité. Il est malaisé d’interpréter ce résultat. Il est probable que les personnes qui ont des idées plus affirmées et plus suspicieuses vis-à-vis d’autrui fassent plus facilement état de leurs convictions de justice.
Pour rappel, nous avons identifié trois facteurs latents à nos huit modèles de justice. Ces trois facteurs partagent-ils des liens avec les cinq grands domaines de la personnalité ? Nous calculons également une matrice de corrélations.
rcorr(perso5facteurs)
## responindividuelle rationnelle compromis N E O
## responindividuelle 1.00 -0.17 0.07 0.11 -0.05 -0.37
## rationnelle -0.17 1.00 0.04 0.00 0.04 -0.07
## compromis 0.07 0.04 1.00 -0.06 0.07 -0.17
## N 0.11 0.00 -0.06 1.00 -0.18 -0.02
## E -0.05 0.04 0.07 -0.18 1.00 0.19
## O -0.37 -0.07 -0.17 -0.02 0.19 1.00
## A -0.36 -0.06 0.12 -0.07 -0.02 0.13
## C 0.16 0.11 0.06 -0.39 0.00 -0.15
## A C
## responindividuelle -0.36 0.16
## rationnelle -0.06 0.11
## compromis 0.12 0.06
## N -0.07 -0.39
## E -0.02 0.00
## O 0.13 -0.15
## A 1.00 0.00
## C 0.00 1.00
##
## n= 148
##
##
## P
## responindividuelle rationnelle compromis N E
## responindividuelle 0.0390 0.4297 0.1696 0.5867
## rationnelle 0.0390 0.6247 0.9789 0.6148
## compromis 0.4297 0.6247 0.4780 0.4252
## N 0.1696 0.9789 0.4780 0.0322
## E 0.5867 0.6148 0.4252 0.0322
## O 0.0000 0.3989 0.0385 0.8416 0.0185
## A 0.0000 0.4852 0.1565 0.3800 0.7646
## C 0.0515 0.1756 0.4843 0.0000 0.9778
## O A C
## responindividuelle 0.0000 0.0000 0.0515
## rationnelle 0.3989 0.4852 0.1756
## compromis 0.0385 0.1565 0.4843
## N 0.8416 0.3800 0.0000
## E 0.0185 0.7646 0.9778
## O 0.1083 0.0629
## A 0.1083 0.9552
## C 0.0629 0.9552
Deux résultats nous intéressent particulièrement ici :
Les facteurs rationnel et de compromis bienveillant ne présentent pas de corrélation significative avec les cinq grands domaines de la personnalité. Nous proposons de nous intéresser au lien qui semble exister entre le facteur de reponsabilité individuelle et les facettes de l’agréabilité et de l’ouverture. En effet, il est possible que certaines facettes soient pertinentes et d’autres moins.
Observons la matrice des corrélations des variables qui nous intéressent.
rcorr(responagrea)
## responindividuelle A1 A2 A3 A4 A5 A6
## responindividuelle 1.00 -0.26 -0.02 -0.21 -0.27 -0.21 -0.48
## A1 -0.26 1.00 0.25 0.31 0.46 -0.04 0.31
## A2 -0.02 0.25 1.00 0.44 0.29 0.40 0.24
## A3 -0.21 0.31 0.44 1.00 0.38 0.37 0.46
## A4 -0.27 0.46 0.29 0.38 1.00 0.19 0.22
## A5 -0.21 -0.04 0.40 0.37 0.19 1.00 0.28
## A6 -0.48 0.31 0.24 0.46 0.22 0.28 1.00
##
## n= 148
##
##
## P
## responindividuelle A1 A2 A3 A4 A5 A6
## responindividuelle 0.0013 0.8556 0.0089 0.0011 0.0093 0.0000
## A1 0.0013 0.0024 0.0001 0.0000 0.6266 0.0001
## A2 0.8556 0.0024 0.0000 0.0003 0.0000 0.0030
## A3 0.0089 0.0001 0.0000 0.0000 0.0000 0.0000
## A4 0.0011 0.0000 0.0003 0.0000 0.0223 0.0080
## A5 0.0093 0.6266 0.0000 0.0000 0.0223 0.0007
## A6 0.0000 0.0001 0.0030 0.0000 0.0080 0.0007
Nous constatons que cinq facettes de l’agréabilité sur les six sont négativement corrélées avec le facteur de responsabilité individuelle. C’est la variable A6 (appelée sensibilité) qui est la plus corrélée. La facette A2 (appelée franchise) n’est pas significativement corrélée avec le facteur de responsabilité individuelle. Compte tenu de ces résultats, nous pouvons affirmer que c’est le domaine global de l’agréabilité qui est la variable forte et que distinguer ses facettes n’est peut-être pas tres intéressant. Observons le nuage de point des deux variables.
scatterplot(responindividuelle~A, data=neoparadigmes)

La ligne pleine et droite représenta la droite de régression et le trait pointillé qui en est proche est une courbe loewess. Il semble bien exister un lien linéaire (négatif) entre les deux variables.
A nouveau, observons la matrice des corrélations.
rcorr(responouvert)
## responindividuelle O1 O2 O3 O4 O5 O6
## responindividuelle 1.00 -0.19 -0.17 -0.09 -0.28 -0.23 -0.52
## O1 -0.19 1.00 0.42 0.30 0.29 0.21 0.27
## O2 -0.17 0.42 1.00 0.32 0.26 0.48 0.17
## O3 -0.09 0.30 0.32 1.00 0.07 0.03 0.07
## O4 -0.28 0.29 0.26 0.07 1.00 0.30 0.25
## O5 -0.23 0.21 0.48 0.03 0.30 1.00 0.27
## O6 -0.52 0.27 0.17 0.07 0.25 0.27 1.00
##
## n= 148
##
##
## P
## responindividuelle O1 O2 O3 O4 O5 O6
## responindividuelle 0.0244 0.0337 0.2739 0.0006 0.0042 0.0000
## O1 0.0244 0.0000 0.0002 0.0004 0.0096 0.0009
## O2 0.0337 0.0000 0.0000 0.0014 0.0000 0.0420
## O3 0.2739 0.0002 0.0000 0.3894 0.7107 0.3953
## O4 0.0006 0.0004 0.0014 0.3894 0.0002 0.0021
## O5 0.0042 0.0096 0.0000 0.7107 0.0002 0.0008
## O6 0.0000 0.0009 0.0420 0.3953 0.0021 0.0008
Trois facettes semblent (négativement) corrélées avec le facteur de responsabilité individuelle. Dans l’ordre décroissant :
Contrairement à l’agréabilité, nous décidons de ne pas prendre le domaine dans son ensemble mais de ne considérer que ces trois variables.
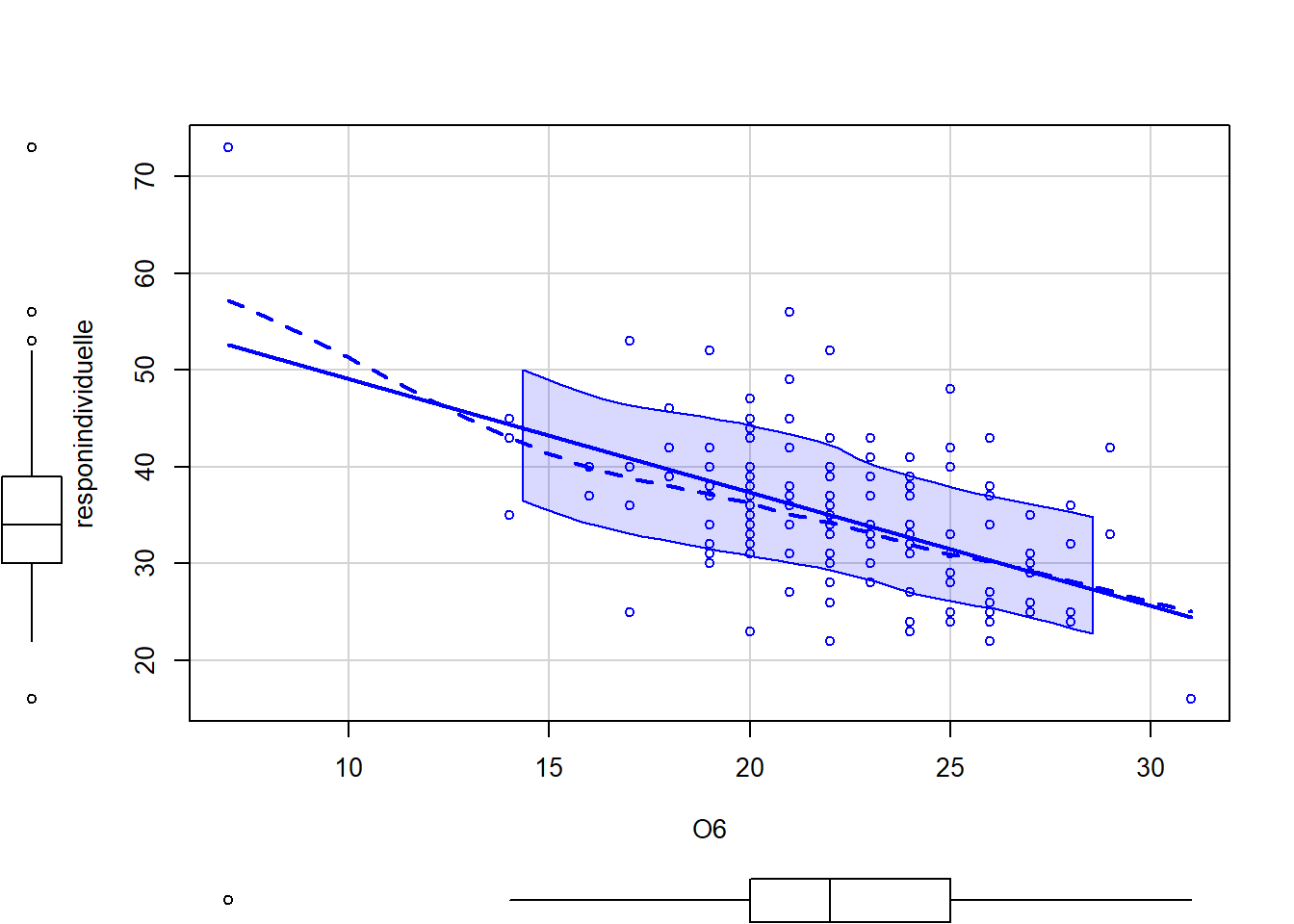
scatterplot(responindividuelle~O6, data=neoparadigmes)

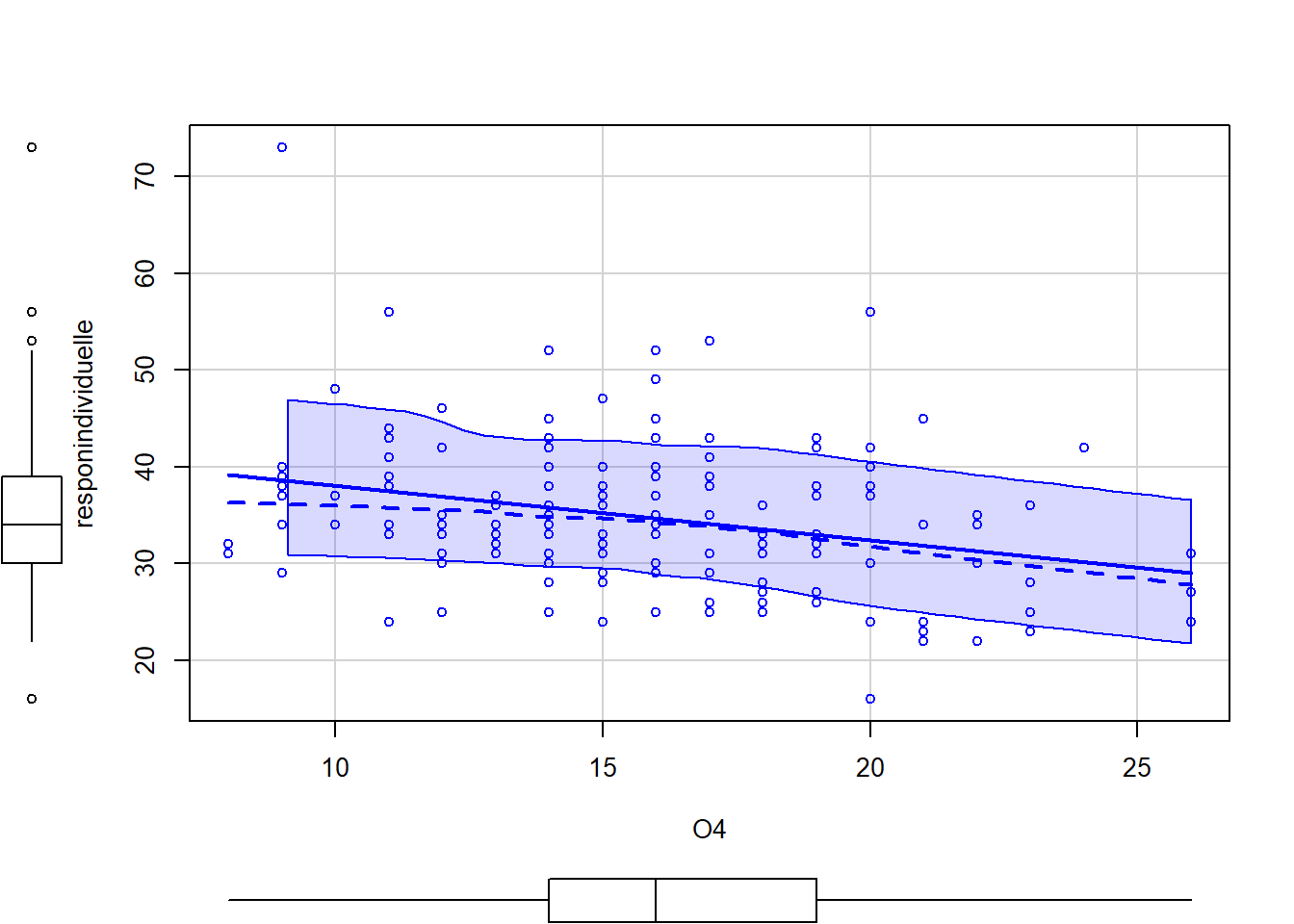
scatterplot(responindividuelle~O4, data=neoparadigmes)

scatterplot(responindividuelle~O5, data=neoparadigmes)

Nous nous sommes également demandés si des facettes des trois autres domaines étaient corrélées avec le facteur de responsabilité individuelle. Nous ne produisons pas ici pas la matrice complète de corrélations mais mentionnons qu’une seule autre facette est significativement (et positivement) corrélée : N2 (Colère-hostilité).
scatterplot(responindividuelle~N2, data=neoparadigmes)

Pour répondre à cette question, nous allons recourir à des équations de régression linéaire sur base des variables centrées sur 0.
acentre <- scale(A, center = TRUE) #Centre les variables sur 0
o6centre <- scale(O6, center = TRUE)
o4centre <- scale(O4, center = TRUE)
o5centre <- scale(O5, center = TRUE)
n2centre <- scale(N2, center = TRUE)
acentreXo6centre <- acentre*o6centre
acentreXn2centre <- acentre*n2centre
o6centreXn2centre <- o6centre*n2centre
o6centreXo4centre <- o6centre*o4centre
acentreXo4centre <- acentre*o4centre
o6centreXo5centre <- o6centre*o5centre
acentreXo5centre <- acentre*o5centre
Le premier modèle est assez simple. La variable A permet-elle de prédire la variable Responsabilité individuelle ? Notons que nous avons exclu le sujet 89 qui est considéré comme un outlier biaisant les résultats.
modele1 <- lm(responindividuelle ~ acentre, data = neoparadigmes[-c(89),])
summary(modele1)
##
## Call:
## lm(formula = responindividuelle ~ acentre, data = neoparadigmes[-c(89),
## ])
##
## Residuals:
## Min 1Q Median 3Q Max
## -23.449 -4.578 -0.571 3.611 32.219
##
## Coefficients:
## Estimate Std. Error t value Pr(>|t|)
## (Intercept) 34.7027 0.5993 57.905 < 2e-16 ***
## acentre -2.8190 0.6013 -4.688 6.27e-06 ***
## ---
## Signif. codes: 0 '***' 0.001 '**' 0.01 '*' 0.05 '.' 0.1 ' ' 1
##
## Residual standard error: 7.291 on 146 degrees of freedom
## Multiple R-squared: 0.1308, Adjusted R-squared: 0.1249
## F-statistic: 21.98 on 1 and 146 DF, p-value: 6.274e-06
Ce modèle nous apprend que lorsque la variable d’Agréabilité augmente de 1 point, la variable Responsabilité individuelle en perd 3. Cette effet est très significatif (p < .0001). Nous pouvons donc affirmer que A apporte une information substancielle pour prédire la Responsabilité individuelle. Pouvons-nous améliorer notre pouvoir de prédiction avec d’autres variables ? Pour répondre à cette question, nous allons créer un nouveau modèle de prédiction qui inclut A mais aussi O6. Notons qu’il faut également inclure une autre variable qui est l’interaction éventuelle qui existerait entre A et O6. Pour ce faire, on multiplie l’une par l’autre.
modele2 <- lm(responindividuelle ~ acentre+o6centre+acentreXo6centre, data = neoparadigmes[-c(89),])
summary(modele2)
##
## Call:
## lm(formula = responindividuelle ~ acentre + o6centre + acentreXo6centre,
## data = neoparadigmes[-c(89), ])
##
## Residuals:
## Min 1Q Median 3Q Max
## -14.4018 -4.4995 -0.8957 3.8184 18.0134
##
## Coefficients:
## Estimate Std. Error t value Pr(>|t|)
## (Intercept) 34.4962 0.5169 66.742 < 2e-16 ***
## acentre -1.8963 0.5311 -3.570 0.000485 ***
## o6centre -3.2192 0.5482 -5.872 2.85e-08 ***
## acentreXo6centre 1.1830 0.4451 2.658 0.008753 **
## ---
## Signif. codes: 0 '***' 0.001 '**' 0.01 '*' 0.05 '.' 0.1 ' ' 1
##
## Residual standard error: 6.216 on 144 degrees of freedom
## Multiple R-squared: 0.3768, Adjusted R-squared: 0.3638
## F-statistic: 29.02 on 3 and 144 DF, p-value: 9.777e-15
Nous constatons que la variable A garde son pouvoir prédictif, que la variable O6 apporte une information pertinente et supplémentaire à A et que l’interaction est également significative. Cela nous invite à penser que plus la variable O6 augmente, au plus l’influence de A est forte (et vice versa). Dit en termes psychologiques : plus une personne est respectueuses des traditions, plus son aspect froid et hostile aura un impact sur les valeurs individualistes et vindicatives. La fermeture aux valeurs amplifie l’effet de la variable A. Ce modèle 2 apporte des informations supplémentaires par rapport au modèle 1. Nous allons donc le privilégier. Pouvons-nous encore l’améliorer ? Cette fois-ci, nous allons inclure la variable N2, susceptible d’apporter une information supplémentaire. Nous incluons également les interactions entre les variables.
modele3 <- lm(responindividuelle ~ acentre+o6centre+n2centre+acentreXo6centre+acentreXn2centre+o6centreXn2centre, data = neoparadigmes[-c(89),])
summary(modele3)
##
## Call:
## lm(formula = responindividuelle ~ acentre + o6centre + n2centre +
## acentreXo6centre + acentreXn2centre + o6centreXn2centre,
## data = neoparadigmes[-c(89), ])
##
## Residuals:
## Min 1Q Median 3Q Max
## -14.1681 -4.5353 -0.6715 3.3522 17.7777
##
## Coefficients:
## Estimate Std. Error t value Pr(>|t|)
## (Intercept) 34.6153 0.5494 63.006 < 2e-16 ***
## acentre -1.6432 0.5887 -2.791 0.00598 **
## o6centre -3.0655 0.5596 -5.478 1.92e-07 ***
## n2centre 0.6953 0.5744 1.210 0.22812
## acentreXo6centre 1.4523 0.5299 2.740 0.00693 **
## acentreXn2centre 0.2200 0.4631 0.475 0.63548
## o6centreXn2centre 0.4398 0.6688 0.658 0.51190
## ---
## Signif. codes: 0 '***' 0.001 '**' 0.01 '*' 0.05 '.' 0.1 ' ' 1
##
## Residual standard error: 6.229 on 141 degrees of freedom
## Multiple R-squared: 0.3873, Adjusted R-squared: 0.3612
## F-statistic: 14.86 on 6 and 141 DF, p-value: 4.065e-13
C’est avec une légère surprise que nous constatons que N2 n’apporte pas d’information significativement nouvelle par rapport au modèle précédent. Cela est contre-intuitif puisque les corrélations que nous avons calculées précédemment avaient mis en évidence un lien significatif entre N2 et la Responsabilité individuelle. Ce que nous apprenons ici c’est que la nature du lien entre ces deux variables est très probablement déjà prise en compte par A et O6. D’ailleurs N2 est corrélé avec ces deux variables. Retenons toutefois que cet affect de colère est un élément qui accompagne des scores faibles en A et O6. Ce modèle 3 n’est pas suffisamment utile pour nous. Nous ne le retiendrons pas, préférant le modèle 2 plus parcimonieux (Judd, McClelland, & Ryan, 2011).
Les autres facettes de l’ouverture apportent-elles une informations supplémentaires ?
modele4 <- lm(responindividuelle ~ acentre+o6centre+o4centre+acentreXo6centre+acentreXo4centre+o6centreXo4centre, data = neoparadigmes[-c(89),])
summary(modele4)
##
## Call:
## lm(formula = responindividuelle ~ acentre + o6centre + o4centre +
## acentreXo6centre + acentreXo4centre + o6centreXo4centre,
## data = neoparadigmes[-c(89), ])
##
## Residuals:
## Min 1Q Median 3Q Max
## -12.9637 -4.5939 -0.9293 3.9255 19.2516
##
## Coefficients:
## Estimate Std. Error t value Pr(>|t|)
## (Intercept) 34.2758 0.5194 65.986 < 2e-16 ***
## acentre -1.9174 0.5222 -3.672 0.000341 ***
## o6centre -2.8321 0.5519 -5.132 9.33e-07 ***
## o4centre -1.4234 0.5353 -2.659 0.008741 **
## acentreXo6centre 1.2129 0.4793 2.531 0.012480 *
## acentreXo4centre -0.8306 0.5800 -1.432 0.154345
## o6centreXo4centre 0.7857 0.5288 1.486 0.139595
## ---
## Signif. codes: 0 '***' 0.001 '**' 0.01 '*' 0.05 '.' 0.1 ' ' 1
##
## Residual standard error: 6.059 on 141 degrees of freedom
## Multiple R-squared: 0.4203, Adjusted R-squared: 0.3956
## F-statistic: 17.04 on 6 and 141 DF, p-value: 9.669e-15
O4 ne semble pas apporter d’information significativement importante. Nous ne garderons dès lors pas ce modèle non plus. Qu’en est-il de O5 ?
modele5 <- lm(responindividuelle ~ acentre+o6centre+o5centre+acentreXo6centre+acentreXo5centre+o6centreXo5centre, data = neoparadigmes[-c(89),])
summary(modele5)
##
## Call:
## lm(formula = responindividuelle ~ acentre + o6centre + o5centre +
## acentreXo6centre + acentreXo5centre + o6centreXo5centre,
## data = neoparadigmes[-c(89), ])
##
## Residuals:
## Min 1Q Median 3Q Max
## -13.439 -4.388 -0.740 3.172 17.909
##
## Coefficients:
## Estimate Std. Error t value Pr(>|t|)
## (Intercept) 34.7036 0.5337 65.025 < 2e-16 ***
## acentre -1.8908 0.5249 -3.602 0.000436 ***
## o6centre -2.6070 0.5891 -4.426 1.91e-05 ***
## o5centre -1.0890 0.5380 -2.024 0.044861 *
## acentreXo6centre 1.2948 0.4704 2.752 0.006697 **
## acentreXo5centre -0.3726 0.5005 -0.745 0.457775
## o6centreXo5centre -0.7800 0.5336 -1.462 0.146077
## ---
## Signif. codes: 0 '***' 0.001 '**' 0.01 '*' 0.05 '.' 0.1 ' ' 1
##
## Residual standard error: 6.134 on 141 degrees of freedom
## Multiple R-squared: 0.4059, Adjusted R-squared: 0.3806
## F-statistic: 16.05 on 6 and 141 DF, p-value: 5.095e-14
La variable O5 n’apporte pas non plus de contribution significative à la prédiction de Reponsabilité individuelle.
Nous gardons par conséquent le modèle 2 comme ayant le plus pertinent en termes de réduction de l’erreur de prédiction et de parcimonie.
print(modele2)
##
## Call:
## lm(formula = responindividuelle ~ acentre + o6centre + acentreXo6centre,
## data = neoparadigmes[-c(89), ])
##
## Coefficients:
## (Intercept) acentre o6centre acentreXo6centre
## 34.496 -1.896 -3.219 1.183
Avec approximations : Responsabilité individuelle = 35 - 2xA - 3xO6 + AxO6
Il explique 36% de la variance totale.
Selon ce modèle, plus une personne se montre altruiste, bienveillante, compatissante, prête à aider les autres et à remettre en question l’ordre établi, les traditions, les valeurs sociales, politiques et religieuses, plus elle défendra une justice basée sur l’égalité et une société qui doit s’adapter aux problèmes qu’elle rencontre. Il s’agit de modifier certains aspects de la société afin de protéger les citoyens.
Au contraire, plus une personne se montre égocentrique, hostile, méfiante d’autrui, compétitive, conservatrice, traditionnaliste et respectueuse de l’autorité, plus elle défendra une justice sévère à l’encontre des contrevenants perçus comme des fauteurs de troubles. Il s’agit de défendre une société qui est garante de l’ordre établi quitte à sacrifier ceux qui la menacent de manière délibérée.
La matrice de corrélations ne laisse apparaître qu’une seule corrélation significative au seuil .01 pour la variable C4 (Recherche de réussite).
rcorr(rationnelle,C4)
## x y
## x 1.0 0.2
## y 0.2 1.0
##
## n= 148
##
##
## P
## x y
## x 0.0152
## y 0.0152
Ce résultat invite à penser que les personnes plus ambitieuses et persévérantes auraient une certaine propension à favoriser une lecture rationnelle et scientifique de la délinquance.
perso5modelescor <- cor(perso5.df, modeles.df, method = "spearman", use = "complete.obs")
corrplot(perso5modelescor, tl.col = "black", tl.srt = 45, method="number")

Nous constatons qu’il existe des liens entre les domaines de personnalité et les huits modèles de justice. Parcourons-les un par un.
La matrice de corrélations attire notre attention sur trois domaines de personnalité qui serait liés au modèle vindicatif : A, O et N. Construisons un modèle de régression linéaire qui tente de prédire le score au modèle vindicatif à partir de ces trois variables de personnalité. Au préalable, nous centrons les trois variables prédictrices et insérons dans le modèle leurs interactions réciproques.
ncentre <- scale(N, center = TRUE)
ecentre <- scale(E, center = TRUE)
ocentre <- scale(O, center = TRUE)
ccentre <- scale(C, center = TRUE)
acentreXncentre <- acentre*ncentre
acentreXocentre <- acentre*ocentre
ncentreXocentre <- ncentre*ocentre
vmodele1 <- lm(modv ~ acentre+ncentre+ocentre+acentreXncentre+acentreXocentre+ncentreXocentre, data = neoparadigmes)
summary(vmodele1)
##
## Call:
## lm(formula = modv ~ acentre + ncentre + ocentre + acentreXncentre +
## acentreXocentre + ncentreXocentre, data = neoparadigmes)
##
## Residuals:
## Min 1Q Median 3Q Max
## -6.2632 -1.8162 -0.2596 1.9062 6.2897
##
## Coefficients:
## Estimate Std. Error t value Pr(>|t|)
## (Intercept) 8.73173 0.22439 38.912 < 2e-16 ***
## acentre -1.25631 0.22895 -5.487 1.84e-07 ***
## ncentre 0.68457 0.22858 2.995 0.003243 **
## ocentre -0.80199 0.22751 -3.525 0.000571 ***
## acentreXncentre -0.35011 0.25530 -1.371 0.172442
## acentreXocentre 0.35889 0.23113 1.553 0.122725
## ncentreXocentre 0.01173 0.23644 0.050 0.960515
## ---
## Signif. codes: 0 '***' 0.001 '**' 0.01 '*' 0.05 '.' 0.1 ' ' 1
##
## Residual standard error: 2.701 on 141 degrees of freedom
## Multiple R-squared: 0.3317, Adjusted R-squared: 0.3033
## F-statistic: 11.67 on 6 and 141 DF, p-value: 1.376e-10
Nous constatons que les trois variables de personnalité apportent une information supplémentaire et spécifique à la prédiction du modèle vindicatif. Leurs interactions quant à elles ne semblent pas pertinentes et ne seront dès lors pas retenues dans l’interprétation du modèle de prédiction. Que pouvons-nous affirmer ? Que les individus qui ont tendance a avoir des scores élevés au modèle vindicatif se montrent plus froids, plus suspicieux de la nature humaine, plus intransigeants, moins prompts à la pitié, plus pragmatiques, plus conventionnels, plus traditionnels, plus orientés vers les résultats que par les émotions, plus anxieux, plus craintifs, plus sensibles au stress et plus dépendants d’autrui pour résoudre les problèmes qu’ils pourraient rencontrer. A l’inverse, les individus qui ont tendance à avoir des scores bas au modèle vindicatif se montrent plus chaleureux, plus confiants envers les prochains, plus tolérants, plus sensibles à la détresse d’autrui, plus altruistes, plus ouverts aux idées, aux valeurs, à l’art et aux émotions, plus serreins, plus résistants au stress et plus autonomes pour faire face aux problèmes de la vie quotidienne.
Ce modèle explique près d’un tiers de la variance totale, ce qui est élevé (il reste évidemment deux tiers de la variance qui ne sont pas expliqués par la personnalité). Ce type A-O-N+ s’approche du type partisans résolus tel que présenté ainsi dans le manuel du NEO PI 3 (McCrae & Costa, 2010) :
Ces personnes ont, assez fréquemment, des croyances fermes et immuables sur les questions de société et de moralité. Généralement grandement sceptiques quant à la nature humaine, elles prônent souvent le recours à une discipline stricte et à une approche musclée des problèmes sociaux. Elles attendent généralement de tous un respect strict des règles établies.
A ce profil s’ajoute la dimension d’anxiété. Les personnes qui revendiquent une justice stricte et sévère seraient donc des personnes qui ont une faible confiance dans les êtres humains, qui revendiquent des valeurs traditionnelles indiscutables sous peine de ressentir de l’anxiété lorsque certains être humains s’éloignent de ces schémas traditionnels. Ils sont en quelque sorte les gardiens du temple des institutions sociales.
Nous mettons ainsi en évidence que la logique vindicative repose sur trois bases :
Elle pourrait être héritière d’une période au cours de laquelle les êtres humains étaient dangereux les pour les autres, ce qui suscitait un état d’insécurité permanente compensée par un besoin de se rattacher à des certitudes fortes et indiscutables.
Il semble que les cinq domaines de personnalité aient une influence sur ce modèle. Construisons un modèles de prédiction.
ocentreXncentre <- ocentre*ncentre
ocentreXccentre <- ocentre*ccentre
ocentreXecentre <- ocentre*ecentre
ncentreXecentre <- ncentre*ecentre
ncentreXccentre <- ncentre*ccentre
ccentreXecentre <- ccentre*ecentre
lmodele1 <- lm(modl ~ ocentre+ncentre+acentre+ccentre+ecentre+ocentreXncentre+ocentreXccentre+ocentreXecentre+ncentreXecentre+ncentreXccentre+ccentreXecentre, data = neoparadigmes)
summary(lmodele1)
##
## Call:
## lm(formula = modl ~ ocentre + ncentre + acentre + ccentre + ecentre +
## ocentreXncentre + ocentreXccentre + ocentreXecentre + ncentreXecentre +
## ncentreXccentre + ccentreXecentre, data = neoparadigmes)
##
## Residuals:
## Min 1Q Median 3Q Max
## -6.298 -1.571 0.332 1.614 5.867
##
## Coefficients:
## Estimate Std. Error t value Pr(>|t|)
## (Intercept) 11.415780 0.237211 48.125 < 2e-16 ***
## ocentre -0.624480 0.236139 -2.645 0.00914 **
## ncentre 0.618086 0.247563 2.497 0.01373 *
## acentre -0.543714 0.224215 -2.425 0.01662 *
## ccentre 0.466644 0.244229 1.911 0.05815 .
## ecentre -0.123908 0.235849 -0.525 0.60018
## ocentreXncentre -0.372772 0.293443 -1.270 0.20613
## ocentreXccentre 0.043043 0.269002 0.160 0.87311
## ocentreXecentre 0.009068 0.230096 0.039 0.96862
## ncentreXecentre -0.248996 0.228822 -1.088 0.27845
## ncentreXccentre -0.083395 0.202818 -0.411 0.68159
## ccentreXecentre 0.005101 0.219601 0.023 0.98150
## ---
## Signif. codes: 0 '***' 0.001 '**' 0.01 '*' 0.05 '.' 0.1 ' ' 1
##
## Residual standard error: 2.62 on 136 degrees of freedom
## Multiple R-squared: 0.1974, Adjusted R-squared: 0.1324
## F-statistic: 3.04 on 11 and 136 DF, p-value: 0.001159
Le modèle de régression nous permet d’affirmer que trois variables apportent une contribution prédictrice au modèle libéral : A, O et N. Ni les autres variables (E et C) ni les interactions n’apportent d’information supplémentaire pertinente. Il s’agit des mêmes variables qui permettent de prédire le modèle vindicatif. Le profil de personnalité en lien avec une logique individualisante empreinte de liberté est dès lors similaire que celui qui soutient une logique de vengeance. Ce résultat peut étonner. Il induit l’idée que les personnes qui défendent le libre arbitre seraient plus méfiantes, plus fermées et plus anxieuses que les autres. Peut-être parce que la notion de liberté rendrait les membres d’une collectivité moins prévisibles et dès lors susceptibles de faire du mal à autrui. La notion philosophique de libre choix apparaîtrait comme une notion indiscutable qui éclipserait les autres valeurs. Ceci à titre d’hypothèses.
La matrice de corrélations semble indiquer un lien entre le domaine de l’agréabilité et la tendance à adhérer au paradigme d’arbitrage populaire. Construisons un modèle pour tester ce lien.
amodele1 <- lm(moda ~ acentre, data = neoparadigmes)
summary(amodele1)
##
## Call:
## lm(formula = moda ~ acentre, data = neoparadigmes)
##
## Residuals:
## Min 1Q Median 3Q Max
## -5.411 -1.460 -0.211 1.386 6.898
##
## Coefficients:
## Estimate Std. Error t value Pr(>|t|)
## (Intercept) 11.2635 0.1755 64.170 <2e-16 ***
## acentre 0.2180 0.1761 1.238 0.218
## ---
## Signif. codes: 0 '***' 0.001 '**' 0.01 '*' 0.05 '.' 0.1 ' ' 1
##
## Residual standard error: 2.135 on 146 degrees of freedom
## Multiple R-squared: 0.01038, Adjusted R-squared: 0.003602
## F-statistic: 1.531 on 1 and 146 DF, p-value: 0.2179
scatterplot(moda ~ acentre, data=neoparadigmes)

Le lien ne semble pas significatif. Le graphique produit nous permet toutefois de constater un phénomène étonnant : une relation curviligne. En effet, il semble que les personnes qui ont une agréabilité faible ou élevée obtiennent des scores plus élevés que ceux qui ont une agréabilité proche de la norme. Pour rappel, le modèle d’arbitrage populaire consiste à se passer des juges officiels afin de trouver une résolution entre les citoyens. Nous pourrions envisager deux scénarios :
Seuls les personnes qui sont entre les deux penseraient que la justice officielle est la plus efficace.
Aucun domaine de personnalité ne semble corrélé significativement avec le modèle chrétien.
Deux variables semblent partager des liens avec le modèle ontologique.
omodele1 <- lm(modo ~ acentre+ocentre+acentreXocentre, data = neoparadigmes)
summary(omodele1)
##
## Call:
## lm(formula = modo ~ acentre + ocentre + acentreXocentre, data = neoparadigmes)
##
## Residuals:
## Min 1Q Median 3Q Max
## -4.7265 -1.2097 0.0531 1.0370 5.6167
##
## Coefficients:
## Estimate Std. Error t value Pr(>|t|)
## (Intercept) 14.3327 0.1643 87.249 <2e-16 ***
## acentre -0.3977 0.1668 -2.385 0.0184 *
## ocentre -0.1112 0.1653 -0.673 0.5023
## acentreXocentre -0.1153 0.1651 -0.698 0.4863
## ---
## Signif. codes: 0 '***' 0.001 '**' 0.01 '*' 0.05 '.' 0.1 ' ' 1
##
## Residual standard error: 1.981 on 144 degrees of freedom
## Multiple R-squared: 0.04563, Adjusted R-squared: 0.02574
## F-statistic: 2.295 on 3 and 144 DF, p-value: 0.08038
Le modèle invite à penser que lorsque l’agréabilité augmente, la tendance à recourir au modèle ontologique diminue. L’ouverture n’apporte pas d’information supplémentaire significative. Pour rappel, le modèle ontologique n’est pas un modèle humaniste. Il vise à mettre en évidence les facteurs internes qui prédisposent au passage à l’acte délinquant. Une telle approche pourrait être bienveillante mais ne l’est pas nécessairement. Dans notre cas de figure, nous serions d’ailleurs enclins à penser l’inverse.
La matrice de corrélations ne semble pas indiquer de variables psychologiques liées au paradigme environnemental.
La matrice de corrélations semble indiquer que quatre domaines de personnalité pourraient être liés à la tendance à se réclamer du paradigme néo-marxiste : C, O, N et E.
nmodele1 <- lm(modn ~ ccentre+ocentre+ncentre+ecentre+ocentreXncentre+ocentreXccentre+ocentreXecentre+ncentreXecentre+ncentreXccentre+ccentreXecentre, data = neoparadigmes)
summary(nmodele1)
##
## Call:
## lm(formula = modn ~ ccentre + ocentre + ncentre + ecentre + ocentreXncentre +
## ocentreXccentre + ocentreXecentre + ncentreXecentre + ncentreXccentre +
## ccentreXecentre, data = neoparadigmes)
##
## Residuals:
## Min 1Q Median 3Q Max
## -9.2556 -1.6813 0.3338 1.6962 5.9385
##
## Coefficients:
## Estimate Std. Error t value Pr(>|t|)
## (Intercept) 11.38602 0.26575 42.845 < 2e-16 ***
## ccentre -0.63325 0.27401 -2.311 0.022321 *
## ocentre 0.90302 0.26114 3.458 0.000725 ***
## ncentre 0.02658 0.27714 0.096 0.923721
## ecentre -0.45357 0.26439 -1.716 0.088511 .
## ocentreXncentre -0.21723 0.32712 -0.664 0.507763
## ocentreXccentre 0.01789 0.30183 0.059 0.952812
## ocentreXecentre 0.01700 0.25773 0.066 0.947513
## ncentreXecentre 0.45328 0.25670 1.766 0.079655 .
## ncentreXccentre 0.12206 0.22536 0.542 0.588944
## ccentreXecentre 0.15072 0.24403 0.618 0.537862
## ---
## Signif. codes: 0 '***' 0.001 '**' 0.01 '*' 0.05 '.' 0.1 ' ' 1
##
## Residual standard error: 2.94 on 137 degrees of freedom
## Multiple R-squared: 0.1772, Adjusted R-squared: 0.1171
## F-statistic: 2.949 on 10 and 137 DF, p-value: 0.00219
Le modèle nous amène à affirmer que deux variables permettent une prédiction significative du modèle néo-marxiste : C et O.
Les personnes qui se réclament du modèle néo-marxiste ont tendance à être plus souples, plus spontanées, moins ordonnées, moins ambitieuses, plus ouvertes à des idées et des valeurs nouvelles et plus curieuses. Ce profil correspond au style C-O+ rêveurs (McCrae & Costa, 2010) :
Ces personnes sont fréquemment attirées par les idées nouvelles et peuvent développer avec imagination, mais elles peuvent aussi avoir tendance à se perdre en envolées quelque peu chimériques. Elles sont souvent productives lorsqu’il s’agit de proposer des solutions originales ou de lancer un projet innovant, mais parfois moins performantes lorsqu’il s’agit de le(s) mettre en oeuvre sur la durée, elles peuvent alors avoir besoin d’aide pour rester concentrées.
Les personnes qui ont tendance à rejeter le modèle néo-marxiste ont tendance à être plus strictes, plus organisées, plus ordonnées, plus ambitieuses, plus conservatrices et plus respectueuses des valeurs traditionnelles. Ce profil correspond au style C+O- appliqués (McCrae & Costa, 2010) :
Ces personnes sont plutôt appliquées, méthodiques et organisées et respectent généralement toutes les règles. Toutefois, leur manque d’imagination les pousse parfois à suivre les instructions pas-à-pas. Elles ont tendance à exceller lorsqu’il s’agit d’apprendre par coeur, mais ont souvent du mal à traiter les questions pour lesquelles il n’y a pas qu’une seule bonne réponse. Elles ont d’ordinaire besoin de structure et d’un cadre bien délimité.
A première vue, deux variables de personnalité pourraient être liées au modèle scientifique : C et O.
smodele1 <- lm(mods ~ ccentre+ocentre+ocentreXccentre, data = neoparadigmes)
summary(smodele1)
##
## Call:
## lm(formula = mods ~ ccentre + ocentre + ocentreXccentre, data = neoparadigmes)
##
## Residuals:
## Min 1Q Median 3Q Max
## -8.5158 -1.8693 0.1902 1.8982 7.1170
##
## Coefficients:
## Estimate Std. Error t value Pr(>|t|)
## (Intercept) 11.56829 0.22968 50.368 <2e-16 ***
## ccentre 0.32992 0.23264 1.418 0.158
## ocentre -0.32067 0.23083 -1.389 0.167
## ocentreXccentre 0.09349 0.22835 0.409 0.683
## ---
## Signif. codes: 0 '***' 0.001 '**' 0.01 '*' 0.05 '.' 0.1 ' ' 1
##
## Residual standard error: 2.762 on 144 degrees of freedom
## Multiple R-squared: 0.03351, Adjusted R-squared: 0.01337
## F-statistic: 1.664 on 3 and 144 DF, p-value: 0.1774
Le modèle de régression ne permet toutefois pas de soutenir qu’il existe un lien significatif entre le caractère consciencieux ni l’ouverture et la tendance à adhérer au modèle scientifique.